• © Goverland Inc. 2026
  • v1.0.8
  • Privacy Policy
  • Terms of Use
ExactlyExactlyby0x997137e1c2A1A8A78CE2D17796b870eFbC7572D2exactlylabs.eth

[EXAIP-08] Interest Rate Model Upgrade (IRM v2)

Voting ended about 2 years agoSucceeded
  • Proposal ID: EXAIP-08
  • Proposer: Exactly Core Team
  • Date: February 14, 2024.

Summary

The upgrade for the Exactly Interest Rate Model (IRM) provides considerable improvements in the variable and fixed interest rate discovery process in the Exactly Protocol:

  • Variable Interest Rate improvement: To increase capital efficiency, the variable interest rate will depend on the variable pool utilization level (as in the previous model) and the protocol global utilization (variable pool plus all fixed-rate pools combined). The new interest rate function now becomes a bivariate function, and its behavior allows a reduction in the reserve requirement. It is worth noting that the change is designed so that users won't notice the change in models for an asset's low to medium global utilizations. Only when global utilization levels are high do the new features gain all their effectiveness, preventing liquidity issues.

  • Fixed Interest Rate improvement: To provide a better guideline for the term structure of interest rates, the fixed rate will now be linked to the variable rate status and incorporates a spread term dependent on the relative utilization for each specific maturity.

Background

With Exactly Protocol, the users can deposit and borrow crypto assets with variable and fixed interest rates. The interest rate discovery process considers the utilization rate of the variable rate pool and the multiple fixed rate pools independently. This approach was completely new for determining fixed rates in DeFi. Previous protocols approached the problem through the price of numerous maturity tokens that required a special type of AMM and many other challenges, such as lack of liquidity.

The current Interest Rate Model (IRM-V1) also adopts a continuous and differentiable rational function of the utilization for setting lending rates instead of the linear model Compound Protocol introduced in February 2019. The function was designed to diverge asymptotically for a certain boundary value of utilization to act as a natural barrier for credit demand as the utilization level depletes the protocol liquidity capabilities.

After one year of track record and over 108,000 transactions on the Exactly Protocol, we have developed an upgrade to the Exactly IRM.

Proposal

This proposal aims to introduce an upgrade in the IRM (IRM-V2) that allows:

  • To optimize Liquidity Management and increase Capital Efficiency.
  • To have an extra channel to boost credit demand independently of fixed-rate deposits.
  • To count with a mechanism that provides a guideline for the term structure of interest rates (resembling traditional monetary policy).
  • To extend the number of fixed rate pools from six up to twenty-five during 2024/2025.
  • To reduce the Reserve Factor (the fraction of the total Variable Rate Pool deposits established as Liquidity Reserves that can't be borrowed and will only be available for withdrawals) from 10% to 5%.

Benefits

Addressing the Liquidity Challenge: Liquidity is a big concern only when global utilization (variable plus fixed pools together) is high. Otherwise, it should have little influence on the interest rate determination. Pools should care about global liquidity as well as their specific utilization level. By introducing the double dependency on variable-pool and global utilization levels, together with a liquidity triggering mechanism (as in the previous model), it is possible to have better control of rate adjustments and lower the reserve requirement level. The immediate implication is a more efficient capital allocation. The changes in the floating rate from IRM-V1 and IRM-V2 are schematically shown in Fig.1.

Screenshot 2024-02-14 at 16.05.45.png

The following expression gives the functional form for the floating rate:

Screenshot 2024-02-14 at 16.09.01.png

Where A, B, Umax, ULiq0, and α are numerical parameters, ULiq is the global utilization, and UVR is the floating pool utilization.

Fig.2 shows the behavior of USDC rates for different fixed floating pool utilization as a function of liquidity utilization.

Screenshot 2024-02-14 at 16.10.43.png

Fig.3 shows the behavior of USDC rates for different fixed global liquidity utilization as a function of floating pool utilization.

Screenshot 2024-02-14 at 16.11.40.png

Table.A shows the set of parameters calibrated for each market in the protocol.

Screenshot 2024-02-14 at 16.12.44.png

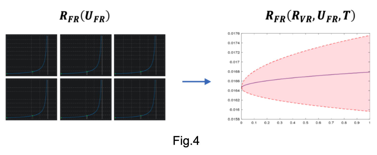
Concerning fixed-rate determination as a function of loan maturity, IRM-V2 replaces the scheme of multiple pools curve functions, where each of them depended on the pool isolate utilization, by a spread term regulated by the relative usage of each maturity to a predefined natural allocation level, Fig.4. This approach makes also possible to incorporate other market characteristics such as intertemporal preferences.

Screenshot 2024-02-14 at 16.14.04.png

One advantage of the IRM-V2 approach is that rates will move more parsimoniously across terms while still reflecting user preferences. In some sense, it is a way to incorporate the benefits of the monetary-policy guidelines of traditional finance, but here in an autonomous way. The mathematical expression for fixed rates is given by:

Screenshot 2024-02-14 at 16.15.01.png

Where a0, a1, η, and Tmax, are numerical parameters, and Z(.) is a continuous and uniformly increasing function of UTFR in the interval [-1,1] that reflects if the maturity is under or over-demanded for credit. Fig.5 shows a hypothetical distribution of fixed rates for various maturities depending on their relative credit demand.

Screenshot 2024-02-14 at 16.16.40.png

In Table.B, the proposed parameter values are shown. Initially, they will be the same for all assets traded in the protocol.

Screenshot 2024-02-14 at 16.17.36.png

To better grasp the model behavior, we show a table in the appendix with lower and upper bounds for USDC floating rates as a function of global utilization.

Implementation

  • GitHub diff comparison: https://github.com/exactly/protocol/compare/main...irm
  • GitHub commit: https://github.com/exactly/protocol/commit/3176ada26b95e0c0761f178c3079ebf806d9649e
  • ABDK audit report: https://github.com/exactly/audits/blob/main/ABDK%20Interest%20Rate%20Model%20v2%20(Feb-24).pdf
  • The update in the IRM won’t affect the current fixed-rate loans and deposits.
  • The initial parameters have been defined in this proposal and can be changed via governance.

Conclusion

Summarizing: Changes in the IRM Structure and Dependencies

  • Decouples Fixed-Rate Lending and Borrowing market activity.
  • Sets guidelines for a coherent term structure of interest rates.
  • It constitutes the starting point for developing:
  1. Consumer-oriented credit products like crypto-based credit cards and consumer loans with payments in fixed installments.
  2. More complex financial products like a market for interest rate futures.

Screenshot 2024-02-14 at 16.23.11.png

Appendix

Screenshot 2024-02-14 at 16.24.19.png

Off-Chain Vote

Yes
176.85K EXA97.5%
No
4.45K EXA2.5%
Abstain
0 EXA0%
Quorum:181%
Download mobile app to vote

Timeline

Feb 14, 2024Proposal created
Feb 15, 2024Proposal vote started
Feb 20, 2024Proposal vote ended
Mar 27, 2026Proposal updated